Generador de Cummins es casi el más popular Generador listo ampliamente utilizado en todo tipo de industria de centrales eléctricas por todo el mundo. La red de servicio global del motor diesel Cummins puede proporcionar a los clientes un servicio confiable y garantizado. El rango de potencia de Grupo electrógeno Cummins es desde 24kw hasta 1800kw .
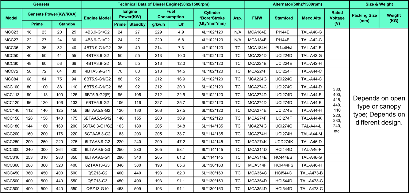
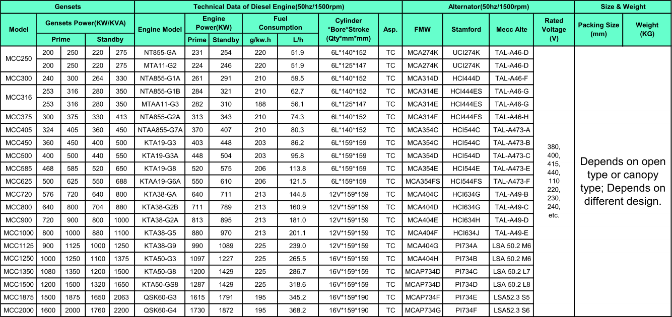
1. Especificaciones principales de Cummins Engine Generator
Generador Dongfeng Cummins

Generador de Chongqing Cummins

2. Cummins Generator Se t
3. Características del generador y alcance del suministro
|
Piezas estándar
|
Partes opcionales
|
|
Nuevo motor diesel de la serie Ricardo, Lijia y Styer
|
Original Stamford, Leroy Somer y Mecc Alte alternador
|
|
Nuevo alternador MCA sin escobillas (Clase H, IP23, AVR)
|
Sistema de control del generador de cambio de transferencia automática (A.T.S)
|
|
Estructura base de acero resistente con 8 horas de depósito de combustible
|
Sistema de control del generador en paralelo
|
|
Toldo insonorizado de acero de 2MM-4MM para generador silencioso
|
Tanque de combustible personalizado de más de 8 horas corriendo
|
|
Radiador de protección con red de protección
|
Servicio pesado 50 ℃ Radiador de latón
|
|
Amortiguador antivibraciones de goma resistente
|
Deepsea7320, Smartgen6110 o ComAp AMF25 controlador del generador
|
|
Heavy duty silenciador industrial con boca flexible
|
Calentador de agua / calentador de aceite lubricante para clima extremadamente frío
|
|
Batería no de mantenimiento de alto rendimiento estándar del estado
|
Electrónicos como ABB, Schneider y Siemens
|
|
Controlador de generador Deepsea6020, Smartgen420 o ComAp MRS11
|
Toldo súper silencioso cumtomizado con esponja de alta densidad
|
|
Presión baja de aceite, sobrecalentamiento, sobrecarga y protecciones de sobrevelocidad
|
Parte especial como llaves de acero inoxidable, bomba de drenaje de aceite, filtro de polvo etc
|
|
Electrónica estándar del estado como cable, interruptor de circuito, relé, lámpara, fusible, parada dispositivo.
|
Motor extra y repuestos de alternador como filtro, junta, boquilla, AVR, rectificador
|
|
Kit de herramientas con manuales de operación de grupo electrógeno, motor y alternador
|
Caja de kit de herramientas Deluxe con variedades de herramientas para mantenimiento
|
4. Criterio y certificado

5. Ventaja de nuestro generador diesel

① Materiales y repuestos de alta calidad
● Desde tornillos, cojinetes, esponjas de ruido, cables, amortiguadores de vibraciones, relés, AVR, diodos, medidores, pinos, hasta cables de cobre, placas de acero, medidores, controladores, baterías, AMF, ATS, etc.
② Equipo de investigación y desarrollo de alta educación y experiencia
● Con un equipo de investigación y desarrollo altamente profesional, no solo FMW power manufactuer standard generador de calidad confiable pero también potencia FMW puede diseñar diferentes tipos de generador como generador súper silencioso, estación de energía de contenedores, generador inteligente de acuerdo a las demandas únicas del cliente.
③ Rendimiento y criterio confiables
Regulacion de voltaje:
● Rango de ajuste de voltaje de carga libre≥ (95-105)% Un
● Tasa de regulación de voltaje en estado estable≤ ± 1.0%
● Tr Tasa de regulación de voltaje del estado del ans≤ + 20% / - 15%
● Tiempo de recuperación de voltaje≤1.0S
● Ratio de fluctuación de voltaje≤ ± 0.5%
● Ratio de tensión de frío / estado caliente≤2%
Frecuencia / velocidad de ondulación:
● Cambie la carga de 0-100%, relación de caída de frecuencia / velocidad dentro del 5%.
● Carga desde 25-100%, cualquier carga constante Frecuencia / velocidad de ondulación dentro de 0.25%
Factor de efecto de telecomunicaciones:
● TIF (MA MG1-22) mejor que 50
● THF (BS EN60034) mejor que 2%
Criterio:
● ISO8528, GB / T2820
● EN12601: 2001, EN60034-22: 1997, EN60204-1: 2006
● ISO9001: Sistema de control de calidad 2008
● Resistencia aislante probada de acuerdo con GB5226.1-2002-19.3
● Tensión de resistencia probada de acuerdo con GB7 55-2000-8.1 (con 1500V por 60S)
● Todos los recambios eléctricos probados de conformidad con GB5226.1-2002-19.6
● Seguridad mecánica probada de acuerdo con GB / T820.8-2002-6.3
● probado a prueba de fuego de acuerdo con GB / T2820.8-20 02-6.4 / 6.5
● Todos los grupos electrógenos se inspeccionan estrictamente en un 25%, 50%, 75%, 100% y 110% de carga.